A/B C Sumo and Virus 题意: tips:直接模拟就好~可以用数组存。比赛的时候直接用变量存了。注意小镇只有m个人,且患病后再不会患病,要从总人数中除去。此外,要用ll,会爆int! D. Sumo and Easy Sum G. Sumo and Robot Game tips:(证明可以用二项式定理) H.Sumo and Electricity(Easy) 但是核电站功率十分不稳定,因此Sumo并不知道部分核电站目前的功耗是怎样的,但是它可以选择调整这些核电站功耗的大小。 因为电缆的功耗远大于核电站的功耗,因此Sumo希望可以优先保证在所有电缆功耗总和尽可能低的条件下,尽量降低所有核电站的功耗总和,希望你能帮助Sumo为功耗未知的核电站设置功耗,从而满足以上的条件。 tips:只有一个wi是-1(hard版本有多个-1,不会做qwq)。取出所有-1核电站相连的核电站功耗值,对每一位处理,0多或者01数量相等,该位就是0,反之是1。(这样才能保证异或最小)。 J. Sumo and Balloon tips:高数题。已知三个点求平面方程+点到平面的距离。 L. Sumo and Coins tips:转换思路,每次翻n-1个转化为每次翻1个,再全反过来是一样的。 一共做了8个qwq 剩下4个题:dp、线段树、莫队、H题的hard版本。
第十七届浙大城市学院程序设计竞赛(同步赛)题解
略 签到题qwq
链接:https://ac.nowcoder.com/acm/contest/5954/C
一个病患每天可以传染x个未被感染的人;
潜伏期为7天,期间不发病也不传染别人;
第8天开始发病,并且可以传染;
第14天,被治愈(当天不会传染,且不再具有传染能力);
治愈之后具有抵抗力,不会被传染。
问:从Sumo感染病毒开始算第一天,第n天过后小镇上有几个传染者(指具有传染能力的人)?#include<bits/stdc++.h> #define ll long long using namespace std; ll t,x,n,m,qf1,qf2,qf3,qf4,qf5,qf6,qf7,fb1,fb2,fb3,fb4,fb5,fb6; void solve(){ qf1 = qf2 = qf3 = qf4 = qf5 = qf6 = qf7 = fb1 = fb2 = fb3 = fb4 = fb5 = fb6 = 0; if(n <= 7) printf("0n"); else{ qf7 = 1,m -= 1; for(int day = 8; day <= n; ++day){ int rec = qf1, rec2 = fb1; if(qf7 || fb1 || fb2 || fb3 || fb4 || fb5){ if(m >= (qf7 + fb1 + fb2 + fb3 + fb4 + fb5) * x) qf1 = (qf7 + fb1 + fb2 + fb3 + fb4 + fb5) * x, m -= (qf7 + fb1 + fb2 + fb3 + fb4 + fb5) * x; else qf1 = m, m = 0; }else qf1 = 0; fb1 = qf7, qf7 = qf6, qf6 = qf5, qf5 = qf4, qf4 = qf3, qf3 = qf2, qf2 = rec; fb6 = fb5, fb5 = fb4, fb4 = fb3, fb3 = fb2, fb2 = rec2; } printf("%lldn",fb1 + fb2 + fb3 + fb4 + fb5 + fb6); } } int main(){ scanf("%lld",&t); while(t--){ scanf("%lld%lld%lld",&x,&m,&n); solve(); } return 0; }
题意:


tips:注意分数的化简。#include<bits/stdc++.h> using namespace std; int t,k,a,b; int gcd(int x, int y){ if(x < y) swap(x,y); int tmp; while(y){ tmp = x % y; x = y; y = tmp; } return x; } void simplify(){ if(a % b == 0) printf("%dn",a / b); else{ printf("%d/%dn",a / gcd(a,b), b / gcd(a,b)); } } int main(){ scanf("%d",&t); while(t--){ scanf("%d",&k); a = k; b = k * k - k - 1; simplify(); } return 0; }
链接:https://ac.nowcoder.com/acm/contest/5954/F
题意:
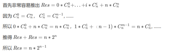
Sumo has a total of n cars. Every day, he will choose any number of cars from the n cars (the number of cars cannot be 0) to form a team, and then choose one from this team to drive himself. How many options are there?

#include<bits/stdc++.h> #define ll long long using namespace std; const int mod = 1e9 + 7; int n,t; ll ksm(ll x, ll n){ ll res = 1; while(n){ if(n & 1) res = (res % mod) * (x % mod) % mod; n >>= 1; x = (x % mod) * (x % mod) % mod; } return res; } int main(){ scanf("%d",&t); while(t--){ scanf("%d",&n); ll ans = (n % mod * ksm(2, n - 1)) % mod; printf("%lldn",ans); } return 0; }
链接:https://ac.nowcoder.com/acm/contest/5954/H
题意:Sumo有n个核电站,每个核电站都有自己的耗电量w_i。
这些核电站之间通过m条电缆相连,电缆的传输功耗为两个核电站耗电量之间的异或⊕(XOR)值。#include<bits/stdc++.h> #define ll long long using namespace std; int n,m,rec,a,b,maxlen; ll sum,w,ans,sumdl,book[505],final; vector <ll> box; string convert(ll x){ string str = ""; do{ str += x % 2 + '0'; }while(x /= 2); int len = str.length(); maxlen = max(maxlen, len); return str; } ll con(string s){ ll z = 0; int len = s.length(); for(int i = len - 1; i >= 0; --i) z = z * 2 + s[i] - '0'; return z; } void solve(){ vector<string> v; string tmp = ""; for(int i = 0; i < box.size(); ++i){ v.push_back(convert(box[i])); } for(int i = 0; i < maxlen; ++i){ int cnt0 = 0, cnt1 = 0; for(int j = 0; j < v.size(); ++j){ if(v[j].length() <= i) cnt0++; else v[j][i] == '0' ? cnt0++ : cnt1++; } if(cnt0 >= cnt1) tmp += "0"; else tmp += "1"; } final = con(tmp); sum += final; for(int i = 0; i < box.size(); ++i){ sumdl += final ^ box[i]; } } int main(){ scanf("%d%d",&n,&m); for(int i = 1; i <= n; ++i){ scanf("%lld",&w); (w != -1) ? sum += w, book[i] = w : rec = i; } for(int i = 1; i <= m; ++i){ scanf("%d%d",&a,&b); if(a == rec) box.push_back(book[b]); else if(b == rec) box.push_back(book[a]); else sumdl += book[b] ^ book[a]; } solve(); printf("%lldn%lld",sumdl,sum); return 0; } #include<bits/stdc++.h> #define PI acos(-1) using namespace std; double A,B,C,D,l,x,y,z,x1,x2,x3,yy1,y2,y3,z1,z2,z3,dis; int main(){ scanf("%lf",&l); scanf("%lf%lf%lf",&x,&y,&z); scanf("%lf%lf%lf",&x1,&yy1,&z1); scanf("%lf%lf%lf",&x2,&y2,&z2); scanf("%lf%lf%lf",&x3,&y3,&z3); A = (y2 - yy1)*(z3 - z1) - (z2 -z1)*(y3 - yy1); B = (x3 - x1)*(z2 - z1) - (x2 - x1)*(z3 - z1); C = (x2 - x1)*(y3 - yy1) - (x3 - x1)*(y2 - yy1); D = -(A * x1 + B * yy1 + C * z1); dis = abs(A * x + B * y + C * z + D) / sqrt(A * A + B * B + C * C) / 2; printf("%lf",4.0 * PI * dis * dis * dis / (3.0 * l)); return 0; }
题意:有n个硬币,开始时a个朝上,b个朝下。每次只能反转n-1个硬币,问可否最终全正/全反。
然后瞎猜几次,可以不完全归纳 出结论:
A.n偶数,答案为ALL;
B.不存在NONE;
C.n为奇数,a奇数则UP,b奇数则DOWN.
具体证明看官方题解8!#include<bits/stdc++.h> using namespace std; int t,a,b,n; int main(){ scanf("%d",&t); while(t--){ bool upflag = false, downflag = false; scanf("%d%d%d",&n,&a,&b); if(n % 2){ if(a % 2) upflag = true; if(b % 2) downflag = true; }else{ upflag = true; downflag = true; } if(upflag && downflag) printf("ALLn"); if(!upflag && downflag) printf("DOWNn"); if(upflag && !downflag) printf("UPn"); if(!upflag && !downflag) printf("NONEn"); } return 0; }
本网页所有视频内容由 imoviebox边看边下-网页视频下载, iurlBox网页地址收藏管理器 下载并得到。
ImovieBox网页视频下载器 下载地址: ImovieBox网页视频下载器-最新版本下载
本文章由: imapbox邮箱云存储,邮箱网盘,ImageBox 图片批量下载器,网页图片批量下载专家,网页图片批量下载器,获取到文章图片,imoviebox网页视频批量下载器,下载视频内容,为您提供.
阅读和此文章类似的: 全球云计算
官方软件产品操作指南 (170)